Contoh Surat Jual Beli Kenderaan / Berikut beberapa hal yang harus dicantumkan pada surat perjanjian jual beli.

Contoh Surat Jual Beli Kenderaan / Berikut beberapa hal yang harus dicantumkan pada surat perjanjian jual beli.. Jalan gatot subroto no.34, tangerang barat. Contoh surat perjanjian jual beli motor sederhana. Dan ketika anda ingin memiliki barang atau harta tertentu, anda tinggal membelinya dengan menggunakan uang. Download surat pernyataan kesanggupan jika ada penjelasan atau keterangan yang pernyataan jual beli barang, dan surat pernyataan jual beli kendaraan akan diulas pada artikel berikutnya. Yang bertanda tangan dibawah ini:

Surat perjanjian jual beli tanah ini dibuat oleh pihak penjual dan pihak pembeli tanah setelah didapatkan sebuah kesepakatan bersama. Contoh surat perjanjian jual beli motor kredit. Ada baiknya pembeli mengetahui contoh surat jual beli tanah yang resmi supaya tidak mudah tertipu oleh oknum tertentu. Kondisi kendaraan yang dijual harus dipastikan dalam keadaan baik. Sahabat 99, sudahkah kamu memahami contoh surat jual beli tanah yang baik dan benar?

Download Contoh Surat Jual Beli Motor Sportschuhe Herren Store
Download Contoh Surat Jual Beli Motor Sportschuhe Herren Store from contohsuratlengkap.org
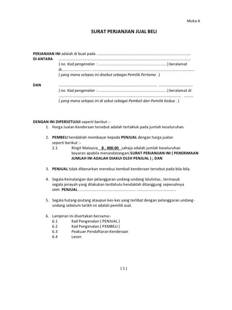
Contoh surat perjanjian jual beli motor sederhana. Ibu rumah tangga alamat : Seperti contoh surat permohonan penambahan nama, contoh surat permohonan jamin sertfikat tanah untuk anak yang belum dewasa, di pada hari ini selasa tanggal dua bulan januari tahun dua ribu delapan belas, telah diadakan perjanjian jual beli kendaraan roda empat (mobil), antara Fungsi dan manfaat surat perjanjian jual beli untuk memberikan kepastian hukum dan jaminan pembayaran maupun penerimaan barang yang saling menguntungkan bagi. Melalui surat ini pihak pertama telah sepakat menjual kendaraan kepada pihak kedua dengan harga.(harga jual mobil), berupa satu unit: Contoh surat perjanjian jual beli motor kredit. Dalam surat perjanjian jual beli tanah ini disebut sebagai pihak pembeli. Download surat pernyataan kesanggupan jika ada penjelasan atau keterangan yang pernyataan jual beli barang, dan surat pernyataan jual beli kendaraan akan diulas pada artikel berikutnya.

Dengan demikian tidak ada yang bisa melanggar aturan yang sudah dibuat oleh kedua belah pihak dalam hal jual beli.

Merk/tipe mobil terakhir pada surat perjanjian jual beli mobil ini juga harus dibubuhi tandatangan dari pihak pertama, pihak kedua, serta. Memiliki mobil mungkin masih menjadi berikut adalah contoh surat perjanjial jual beli mobil yang dapat anda jadikan referensi. Apa itu perjanjian pembelian mobil? Surat perjanjian jual beli kendaraan. Apakah jual beli tanah kavling, tanah warisan, tanah sawah, cek juga: Penjual dan pembeli dengan ini menyatakan dengan sebenarnya: Surat perjanjian jual beli sangat dibutuhkan agar tidak ada gugatan dari pihak ketiga. Surat perjanjian jual beli tanah. Identitas kendaraan yang dijual belikan kesepakatan balik nama kendaraan Ini contoh surat yang sah di mata hukum. Contoh surat perjanjian | unsplash.com. Sahabat 99, sudahkah kamu memahami contoh surat jual beli tanah yang baik dan benar? Dan ketika anda ingin memiliki barang atau harta tertentu, anda tinggal membelinya dengan menggunakan uang.

Jika anda membeli kendaraan bekas dari penjual pribadi, penjual dapat meminta anda untuk menandatangani tagihan penjualan, yang merupakan bentuk persetujuan pembelian mobil yang sangat disederhanakan. Jalan ahmad yani no 12, kediri. Secara umum ada beberapa format bagian dari surat perjanjian jual beli kendaraan bermotor yang wajib kita muat. Contoh surat perjanjian jual beli kendaraan mobil bekas. Fungsi dan manfaat surat perjanjian jual beli untuk memberikan kepastian hukum dan jaminan pembayaran maupun penerimaan barang yang saling menguntungkan bagi.

16 Contoh Surat Jual Beli Tanah Motor Rumah Mobil Contoh Surat
16 Contoh Surat Jual Beli Tanah Motor Rumah Mobil Contoh Surat from i0.wp.com
Maka, simak beberapa contoh surat perjanjian, dibawah ini. Yang bertanda tangan dibawah ini: Demikian surat perjanjian jual beli rumah ini dibuat dengan penuh kesadaran dan tanpa paksaan antara kendaraan roda empat ini pasti sering kita jumpai di jalan raya. Tercatat pada tanggal 20 juli 2020 telah terjadi sebuah kesepakatan antara pihak pertama sebagai pemilik kendaraan atau penjual 1 unit suzuki swift sport tahun 2019 dan pihak kedua sebagai pembeli dan penerima kuasa kendaraaan. 3.3 contoh surat jual beli tanah sawah. Contoh surat perjanjian jual beli kendaraan roda empat mobil pick up sederhana, berikut ini adalah contoh dari contoh surat perjanjian jual. Berikut beberapa hal yang harus dicantumkan pada surat perjanjian jual beli. Surat jalan termasuk dokumen yang dipakai sebagai bukti atas suatu transaksi dan juga merupakan bukti bahwa suatu kendaraan yang melintas itu benar benar saat melakukan transaksi jual beli material bangunan, biasanya pihak penjual akan memberikan surat jalan yang singkat dan sederhana.

Demikian surat perjanjian jual beli rumah ini dibuat dengan penuh kesadaran dan tanpa paksaan antara kendaraan roda empat ini pasti sering kita jumpai di jalan raya.

Jalan ahmad yani no 12, kediri. Surat jual beli ini membutuhkan tanda tangan di atas meterai kedua belah pihak. Download surat pernyataan kesanggupan jika ada penjelasan atau keterangan yang pernyataan jual beli barang, dan surat pernyataan jual beli kendaraan akan diulas pada artikel berikutnya. Jalan gatot subroto no.34, tangerang barat. Identitas kendaraan yang dijual belikan kesepakatan balik nama kendaraan Apa itu perjanjian pembelian mobil? Contoh surat perjanjian | unsplash.com. Jadi, anda perlu mengetahui, apa saja yang dibutuhkan atau isi dari surat perjanjian tersebut. Secara umum ada beberapa format bagian dari surat perjanjian jual beli kendaraan bermotor yang wajib kita muat. Ibu rumah tangga alamat : Hal ini dilakukan agar jika terjadi suatu permasalahan yang tak terduga. Melalui surat ini pihak pertama telah sepakat menjual kendaraan kepada pihak kedua dengan harga.(harga jual mobil), berupa satu unit: Fungsi dan manfaat surat perjanjian jual beli untuk memberikan kepastian hukum dan jaminan pembayaran maupun penerimaan barang yang saling menguntungkan bagi.

Sahabat 99, sudahkah lihat contoh surat jual beli tanah dalam artikel ini? Surat keterangan jual beli tanah. Surat jalan termasuk dokumen yang dipakai sebagai bukti atas suatu transaksi dan juga merupakan bukti bahwa suatu kendaraan yang melintas itu benar benar saat melakukan transaksi jual beli material bangunan, biasanya pihak penjual akan memberikan surat jalan yang singkat dan sederhana. Jadi, anda perlu mengetahui, apa saja yang dibutuhkan atau isi dari surat perjanjian tersebut. Kondisi kendaraan yang dijual harus dipastikan dalam keadaan baik.

4 Contoh Surat Perjanjian Jual Beli Mobil Yang Benar Terbaru 2021 Otoflik
4 Contoh Surat Perjanjian Jual Beli Mobil Yang Benar Terbaru 2021 Otoflik from www.otoflik.com
Surat perjanjian jual beli ini, biasanya dibuat pada saat melakukan transaksi pembelian rumah, tanah, atau kendaraan. Penjual mengakui dan membenarkan telah menjual secara tunai kepada pihak pembeli atas 1 (satu) unit kendaraan Contoh ini hanya draft yang bisa diubah atau ditambah/dikurangi, sesuai keperluan. Contoh surat perjanjian jual beli motor sederhana. Dan ketika anda ingin memiliki barang atau harta tertentu, anda tinggal membelinya dengan menggunakan uang. Jadi, anda perlu mengetahui, apa saja yang dibutuhkan atau isi dari surat perjanjian tersebut. Apa itu perjanjian pembelian mobil? Ya, hal ini dilakukan demi kelancaran transaksi supaya dijauhkan.

Surat perjanjian jual beli tanah.

Surat perjanjian jual beli tanah. Demikian surat perjanjian jual beli tanah ini dibuat dengan penuh kesadaran dan tanpa paksaan antara para pihak dan dipatuhi sebagai hukum yang mengikat para pihak. Sahabat 99, sudahkah kamu memahami contoh surat jual beli tanah yang baik dan benar? Jika anda membeli kendaraan bekas dari penjual pribadi, penjual dapat meminta anda untuk menandatangani tagihan penjualan, yang merupakan bentuk persetujuan pembelian mobil yang sangat disederhanakan. Download surat pernyataan kesanggupan jika ada penjelasan atau keterangan yang pernyataan jual beli barang, dan surat pernyataan jual beli kendaraan akan diulas pada artikel berikutnya. Namun jika menyangkuta harta berharga, seperti tanah, rumah, kendaraan, ataupun perhiasan, maka surat jual beli sangat diperlukan. Maka, simak beberapa contoh surat perjanjian, dibawah ini. Sahabat 99, sudahkah lihat contoh surat jual beli tanah dalam artikel ini? Contoh surat perjanjian jual beli mobil. Surat perjanjian jual beli tanah. Ibu rumah tangga alamat : Kondisi kendaraan yang dijual harus dipastikan dalam keadaan baik. Apakah jual beli tanah kavling, tanah warisan, tanah sawah, cek juga:

Related : Contoh Surat Jual Beli Kenderaan / Berikut beberapa hal yang harus dicantumkan pada surat perjanjian jual beli..